Multi-armed bandits with switching costs are a special case of the restless-bandit model.
Setup
Consider the infinite-horizon, discounted MAB problem with
- finite state space $\mathcal S$,
- binary action set $\{0,1\}$ per arm ($1$ = pull, $0$ = idle),
- discount factor $0\le\beta<1$,
- arms evolve only when pulled (i.e. “static” when $a_i=0$),
- per-pull reward $r_i(s)$.
We now add two costs for each arm $i$:
switch-in cost $c_i$: paid (once) whenever we switch to arm $i$,
tear-down cost $d_i$: paid (once) whenever we switch away from arm $i$.
Note: both $c_i$, $d_i$ can be state-dependent.
Our goal is to show
- We can WLOG absorb every tear-down cost $d_i$ into its arm’s switch-in cost.
- A MAB with (only) switch-in costs is a special case of a restless bandit.
Absorbing tear-down costs
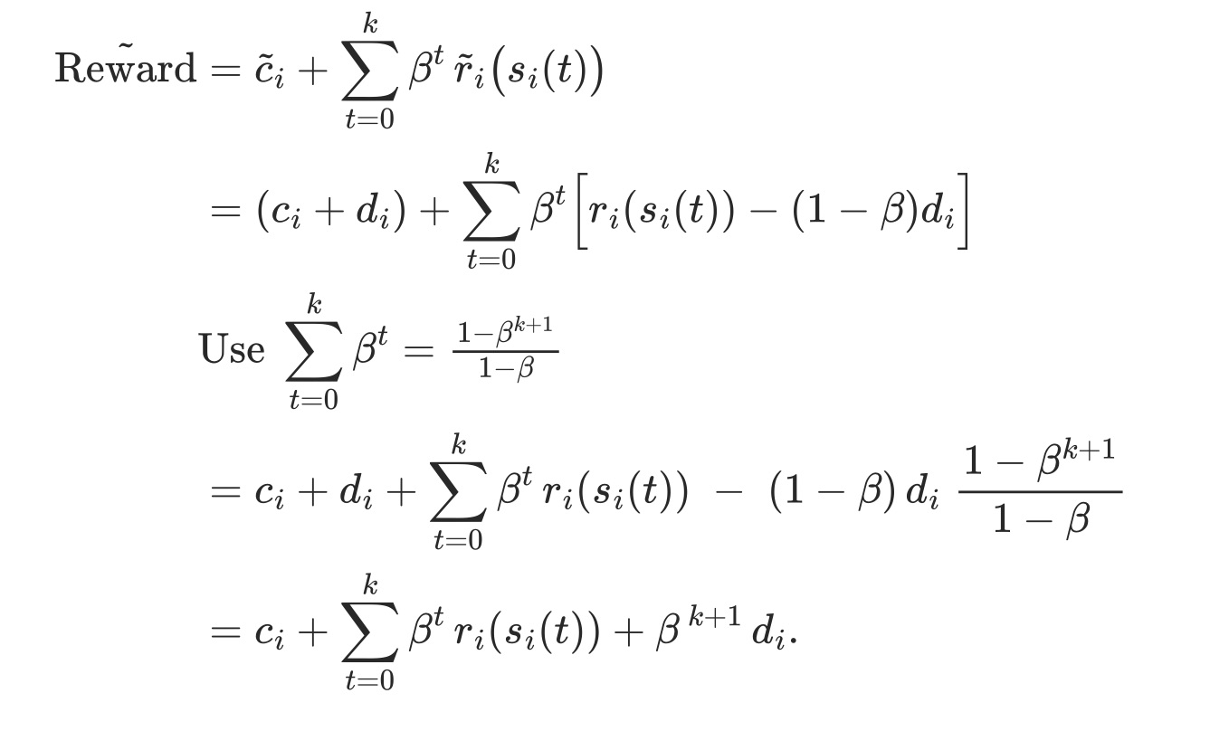
Let arm $i$ incur switch-in cost $c_i$ and tear-down cost $d_i$. Fix any play of arm $i$: we pull it at times $t=0,1,\dots,k$, then switch away. The total discounted reward is
$$ \text{Reward} = c_i + \sum_{t=0}^k \beta^t\,r_i(s_i(t)) + {\beta^{k+1}d_i}. $$The way to absorb $d_i$ into $c_i$ is, by constructing a single switch-in cost $\tilde c_i$ and modified reward $\tilde r_i$ so that for every action-state history trajectory the discounted payoff is unchanged.
Set
$$ \tilde c_i = c_i + d_i, \qquad \tilde r_i(s) = r_i(s)-(1-\beta)d_i. $$Then,

Thus every tear-down cost has been absorbed into the initial switch-in cost plus a constant offset to the reward.
State-dependent costs. If $d_i$ (and $c_i$) depends on the state when you tear down, you can likewise absorb it by augmenting each arm’s state to remember the last state. Then modify the reward function so that
$$ > \tilde r_i\!\bigl(s_t,s_{t-1}\bigr) > = r_i(s_t) > -\tfrac{1}{\beta}\,d_i\bigl(s_{t-1}\bigr) > + d_i\bigl(s_t\bigr), > $$which ensures the same cancellation in the discounted sum.
From MAB with switching costs to Restless MAB
Once all costs are “switch-in” only, we can cast the problem as a restless bandit by adding each arm’s previous action to its state. For arm $i$, define
$$ x_i(t) = \bigl(s_i(t),\,a_i(t-1)\bigr) \in\mathcal S\times\{0,1\}. $$- If $a_i(t-1)=1$, the arm was active last period ⇒ no switching cost this period.
- If $a_i(t-1)=0$, activating now incurs $c_i$.
Thus define the RMAB reward function
$$ r_i'\!\bigl((s,\,\pi)\bigr) = r_i(s)-c_i\,(1-\pi), \quad \pi = a_i(t-1). $$The transition of $x_i(t)$ is just the natural evolution of $s_i(t)$ when pulled or static otherwise, together with updating $\pi\leftarrow a_i(t)$. This is exactly a restless bandit: each arm’s state always evolves (restlessly) in a small state-action space, and the total reward is additive across arms.
Reference
Banks, J. S. & Sundaram, R. K. (1994). Switching costs and the Gittins index. Econometrica. doi:10.2307/2951664