For the suppose-to-be-continuous series of online algorithm’s seminar course note (see a pervious note here), here’s a latest one.
Today’s theme is introduction to online learning.
the so-called “expert setting”
There is a decision maker who makes decisions over time horizon $t = 1, 2, \ldots, T$. We expect $T\to \infty$ to be asymptotic in our analysis.
There is a set of “actions” — $\lbrace L, H\rbrace$ (assume two for now).
For any $t = 1, 2, \ldots, T$, the decision maker chooses one action $i_t \in \lbrace L, H\rbrace$. She then learns the loss:
$$ l_t^L, l_t^H \in [0, 1], $$and suffers from corresponding loss $l_t^{i_i}$. We will use $l_t$ to refer to the vector $[l_t^i]_{i_t \in \lbrace L, H\rbrace}$ sometimes.
At the end. the decision maker obtain total loss
$$ \sum_{t = 1}^T l_t^{i_t}. $$Benchmark is the loss when the decision maker commit to one action throughout the process
$$ \min_i \sum_{t = 1}^T l_t^i. $$Def regret:
$$ \text{Reg}(T) := \max_{l_1, \ldots, l_T}\lbrace \sum_{t = 1}^T l_i^{i_t} - \min_{i}\sum_{t = 1}^T l_t^i\rbrace. $$Def no-regret:
$$ \text{Reg(T)} = o(T). $$algorithms
An algorithm for the decision maker would, at every time point $t$, map known $l_1, \ldots, l_{t - 1}$ to a distribution over actions. For deterministic algorithms, the distribution set the chosen action’s probability to be $1$ and others zero.
Some more useful notations:
In our case with two actions $\lbrace L, H\rbrace$, we may assume the algorithm is a one-dimensional function $p$ that maps history to probability of choosing $H$. More specifically, for certain algorithm ALG:
$$ p_t^\text{ALG} :=P[i_t = H ]. $$Loss at each time period:
$$ f_t(p_t; l_t) := p_t l_t^H + (1 - p_t)l_t^L. $$Cumulated loss:
$$ F_t(\vec p) = \sum_{\tau = 1}^t f_\tau(p_\tau; l_\tau). $$
Def Follow-The-Leader (FTL). At time $t$, the algorithm chooses the action distribution that minimizes ex-post loss:
$$ p_t^\text{FTL}:= \arg\min_{p\in [0, 1]} F_{t - 1}( p\mathbf 1). $$Notice that becase $f$, $F$ are both linear in $p$, the optimal solution $p_t^\text{FTL} = 1$ or $0$ — that FTL is deterministic.
regretful…
Lemma FTL has regret $O(T)$.
Theorem No deterministic algorithm achieves no-regret.
Proof tip: use FTL construction.
no-regret
FTL and deterministic algorithms fail because they’re too obvious and too volatile. But FTL isn’t too bad—that we can improve it by adding a regularizer that stabilizes its choice as well as add in a bit randomness:
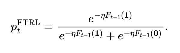
Def Follow-The-Regularized-Leader (FTRL). At time $t$, the algorithm chooses the action distribution that minimizes regularized ex-post loss:
$$ p_t^\text{FTRL}:= \arg\min_{p\in [0, 1]} F_{t - 1}( p\mathbf 1) + \frac1\eta R( p). $$$R(\cdot)$ is strongly convex. For example, a classic choice of $R(\cdot)$ is negative entropy:
$$ R(p) = p \log p + (1 - p) \log (1 - p). $$In this case, $p^\text{FTRL}_t$ solves to be

Looks familar, right?
Theorem By choosing $\eta$ properly FTRL can be no-regret.
To prove the theorem we need one more definition and a few more lemmas:
Def Be-The-Leader (BTL). At time $t$, the algorithm chooses the action distribution that minimizes loss, knowing the current periods’ loss and history:
$$ p_t^\text{BTL}:= \arg\min_{p\in [0, 1]} F_{t}( p\mathbf 1). $$Lemma 1 (Bounded regret of any FTL w.r.t. $\vec l$) For any instance $l_1, \ldots, l_T$:

Proof tip: done by proving
(i) $FTL - BTL \le \sum |p_{t + 1} - p_t|$, and
(ii) $BTL$ has regret zero (done by induction).
Lemma 2 (When $R$ is convex enough, FTRL won’t be too volatile—$p_t$ and $p_{t + 1}$ would not be too far) If $f, g$ are convex on $[0, 1]$ and $f'', g''\ge \frac 1\eta$. And if $f - g$ is $L$-Lipschitz continuous. Define
$$ p_f = \arg\min f(p),\\ p_g = \arg\min g(p). $$We will have $|p_f - p_g| \le \eta L$.
Proof
Lipschitz continuity gives:
$$ |f(p_f) - g(p_f) - f(p_g) + g(p_g)| \le L|p_f - p_g|. $$Convexity, minimum condition and Taylor expansion gives:
$$ f(p_g) - f(p_f) \ge \frac1{2\eta} |p_g - p_f|^2,\\ g(p_f) - g(p_g) \ge \frac1{2\eta} |p_g - p_f|^2. $$Concatenate the above yields $|p_f - p_g| \le \eta L$. Q.E.D.
Finally, plug in $f = F_{t}$, $g = F_{t + 1}$ and $L = 1$, we would get the distance between $FTRL$ and $BTRL$.
BTRL and no-regret benchmark though is bounded by convexity function $\frac 1\eta R(\cdot)$. So finally by picking the correct $\eta\sim\frac1{\sqrt T}$ we’ll obatin sublinear regret.