“That was my Lo,” she said, “and these are my lilies.”
“Yes,” I said, “yes. They are beautiful, beautiful, beautiful!”
— Nabokov, Lolita (1959)
Definition of MAB Problem: Setting, and Solution Concepts
In its most basic formulation, a $K$-armed bandit problem is defined by random variables $X_{i, n}$ for each bandit $i\in [K]$ and any time point $n\ge 1$. Successive plays of arm $i$ yield rewards $X_{i, 1}, X_{i, 2}, \ldots$, i.i.d. from an unknown distribution with unknown mean $\mu_i$. Independence also holds across arms: i.e. $X_{i, s}$ and $X_{j, t}$ are independent (and usually not identical) for each $i\ne j$.
A policy chooses the next arm to play based on historical info. Let $T_i(n)$ denote the number of times arm $i$ has been played by the policy during the the first $n$ plays. The regret of the policy is defined by
$$ \text{Regret(n)}:=\max_j \mu_j\cdot n - \sum_{j\in [K]} \mu_j \mathbb E[T_j(n)]. $$Policy: UCB1
Initialization: Play each arm once.
At each successive round $n$, play arm $j$ that has the largest index:
$$ > \bar x_j + \sqrt{\frac{2\ln n}{n_j}}. > $$where $\bar x_j$ is the average reward obtained from arm $j$, $n_j$ the number of times $j$ has been pulled.
Theorem
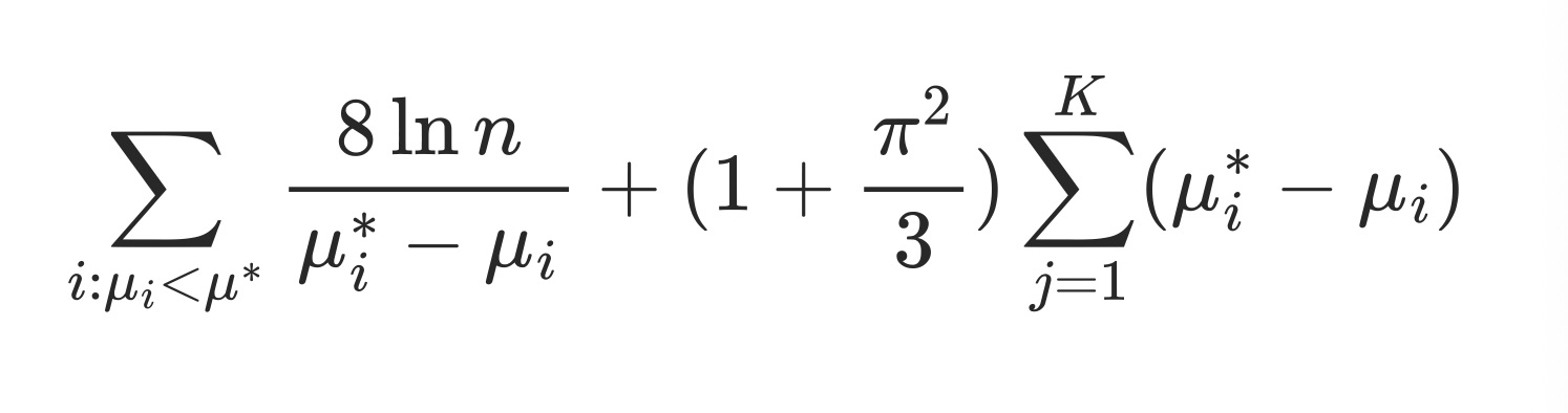
For MAB with $K>1$ arms, let the arms’ reward be normalized to be distributed on $[0, 1]$. Denote as $\mu^*$ as the optimal arm’s mean, UCB1’s expected regret is at most

Proof.
One lovely thing to notice is that regret after $n$ periods is equivalent to the following form:
$$ \text{Regret}(n) = \sum_{j\in [K]}(\mu^* - \mu_j)\mathbb E[T_j(n)]. $$So we try to upperbound sum of regret by upperbound each $T_j(n)$.
For convenience, let $c_{t, s} = \sqrt{2\ln t/s}$. So the index is convenient written in the form $\bar x + c$.
Let $l$ be an arbitrary integer.
$$ \begin{align*} T_i(n) & = 1 + \sum_{t = K + 1}^n\mathbb I\lbrace\text{arm $i$ is pulled at $t$}\rbrace\tag{0}\cr & \le l + \sum_{t = K+1}^n\mathbb I\lbrace\text{arm $i$ is pulled at $t$}, T_i(t - 1) \ge l\rbrace\tag{0.1}\cr \end{align*} $$Arm $i$ is pulled at $t$ requires that at least this arm is better than the optimal arm:

Note: (0.1) has it that $l\le T_i(t - 1)< t$. Simply, $0\le s< t$. So if (1) holds for some $l\le s_i< t$ and $0
$$
\max_{l\le s_i< t}\bar X_{i, s_i} + c_{t - 1, s_i}>\min_{0 < s < t}\bar X_{s}^* +c_{t - 1, s}\tag{2}
$$
Hold on, using (2), (0) is relaxed as
$$ \begin{align*} T_i(n) & = 1 + \sum_{t = K + 1}^n\mathbb I\lbrace\text{arm $i$ is pulled at $t$}\rbrace\tag{0}\cr & \le l + \sum_{t = K+1}^n\mathbb I\lbrace\max_{l\le s_i< t}\bar X_{i, s_i} + c_{t - 1, s_i}>\min_{0 < s < t}\bar X_{s}^* +c_{t - 1, s}\rbrace\tag 2\cr & \le l + \sum_{t = 1}^\infty \sum_{s = 1}^{t-1}\sum_{s_i = l}^{t - 1}\mathbb I\lbrace\bar X_{i, s_i} + c_{t, s_i}>\bar X_{s}^* +c_{t, s}\rbrace\tag{3} \end{align*} $$Note: from (2) to (3) it’s done by a union bound below, and then replace $t - 1$ with $t$ which is harmless when $t$ goes large.

Now, for each $s, s_i, t$, observe that the condition $\bar X_{i, s_i} + c_{t - 1, s_i}>\bar X_{s}^* +c_{t - 1, s}$ implies one of the following must hold
$$ \begin{align*} \bar X_s^* & \le \mu^* - c_{t, s}\tag{i}\cr \bar X_{i, s_i} & \ge \mu_i + c_{t, s_i}\tag{ii}\cr \mu^* & < \mu_i + 2 c_{t, s_i}\tag{iii} \end{align*} $$Interesting enough, let $l = \lceil (8\ln n)/(\mu^* -\mu_i)^2 \rceil \le s_i$, we can prove (iii) is always false for $s_i\ge l$, cause
$$ \mu^* - \mu_i - 2c_{t, s_i} = \mu^* - \mu_i - 2\sqrt{2(\ln t)/s_i}\ge \mu^* - \mu_i - (\mu^* - \mu_i) = 0. $$And the probability of $(i)$ and $(ii)$ is nicely upperbounded by Chernoff-Hoeffding bound:

Chernoff-Hoeffding bound, Auer et al. (2002)
Translates to
$$ \begin{align*} \Pr[\bar X_s^* \le \mu^* - c_{t, s}] & \le e^{-4 \ln t} =t^{-4}\cr \Pr[\bar X_{i, s_i} \ge \mu_i + c_{t, s_i}]& \le e^{-4\ln t} = t^{-4} \end{align*} $$Note: $s$ perfectly cancels in the exponent when taking $c_{t, s}^2/s$.
So for each (suboptimal) arm $i$, take $l = \lceil (8\ln n)/(\mu^* -\mu_i)^2 \rceil $:
$$ \begin{align*} \mathbb E[T_i(n)] \le (3)& \le \bigg\lceil \frac{(8\ln n)}{(\mu^* -\mu_i)^2} \bigg\rceil + \sum_{t = 1}^\infty\sum_{s = 1}^{t - 1}\sum_{s_i = \big\lceil \frac{(8\ln n)}{(\mu^* -\mu_i)^2} \big\rceil}^{t - 1} \cr & \quad \quad \quad \times(\Pr[\bar X_s^* \le \mu^* - c_{t, s}] +\Pr[\bar X_{i, s_i} \ge \mu_i + c_{t, s_i}])\cr & = \bigg\lceil \frac{(8\ln n)}{(\mu^* -\mu_i)^2} \bigg\rceil + \sum_{t = 1}^\infty\sum_{s = 1}^{t - 1}\sum_{s_i = 1}^{t - 1}2t^{-4}\cr & = \frac{8\ln n}{(\mu^* -\mu_i)^2}+ 1 + \frac{\pi^2}3. \end{align*} $$Adding all of them together
$$ \begin{align*} \text{Regret}(n) & =\sum_{j\in [K]}(\mu^* - \mu_j)\mathbb E[T_j(n)]\cr & \le \sum_{j\in [K]} \frac{8\ln n}{(\mu^* - \mu_i)} + (1 + \frac{\pi^2}3)\sum_{j\in [K]}(\mu^* - \mu). \end{align*} $$Reference
Finite-time Analysis of the Multiarmed Bandit Problem. Auer, Cesa-Bianchi and Fischer (2002).